Stor mystik om tomatkonges østarbejdere

Østeuropæiske arbejdere hos Danmarks største tomatavler kan ikke fremvise lønsedler og kender ikke til SKAT's konkursbegæring af gartneriets hidtidige leverandør af udenlandsk arbejdskraft.

Det er uvist, om lettiske vikarer vil få løn for deres arbejde hos Danmarks største tomatproducent, efter at gartneriets faste leverandør af lettisk arbejdskraft er begæret konkurs. (Arkivfoto: Ole Friis)Det er uvist, om lettiske vikarer vil få løn for deres arbejde hos Danmarks største tomatproducent, efter at gartneriets faste leverandør af lettisk arbejdskraft er begæret konkurs. (Arkivfoto: Ole Friis)

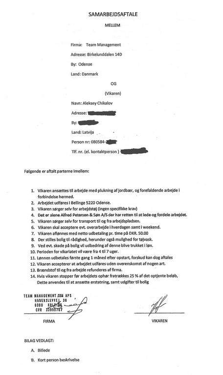
Lettiske mænd og kvinder arbejder på landets største tomatgartneri Alfred Pedersen & Søn, der leverer tomater til blandt andet Bilka, Føtex og SuperBrugsen. Men det er uklart, om de vil få løn for arbejdet på gartneriet i Odense. For tomatproducentens hidtidige storleverandør af lettisk arbejdskraft, vikarbureauet Team Management, kom for en måned siden under konkurs på begæring af SKAT.

Fagbladet 3F har besøgt bondegården på Gammel Højmevej 134 i udkanten af Odense, hvor lettiske mænd og kvinder bor. Et par af beboerne forklarer, at de bor i alt 12 personer på bondegården - og at de arbejder hos Alfred Pedersen & Søn. De lettiske statsborgere oplyser, at de ikke kender til Team Managements konkurs, og at de ikke har fået nye ansættelseskontrakter. En af de lettiske arbejdere siger: 

- Jeg tjener 50 kroner i timen. For mig er det en god løn i sammenligning med lønnen i Letland. Vi får ikke lønsedler.

Vil ikke fortælle om løn og lønsedler

Flere af de lettiske beboere på bondegården forklarer, at de også sidste år arbejdede hos Alfred Pedersen & Søn via den nu tidligere direktør for Team Management, Erik Mørk.

Lettiske Kaspars Romancans oplyser, at han er supervisor for lettiske arbejdere på gartneriet Alfred Pedersen & Søn. Han afviser, at lettiske arbejdere tjener 50 kroner i timen, men vil ikke oplyse, hvad deres timeløn er. Og han vil ikke oplyse, i hvilket firma de lettiske tomatplukkere er ansat.

- Jeg har ingen kommentarer til, at de siger, at de ikke får lønsedler, siger supervisor Kaspars Romancans.

Gartneri: Vikarers ansættelse er et godt spørgsmål

Arbejdslederen hos Alfred Pedersen, Kevin Humphries, oplyser, at gartneriet lige nu beskæftiger 24-25 vikarer fra Letland. På spørgsmålet om, hvor de lettiske arbejdere er ansat efter Team Managements konkursbegæring, siger han:

- Det er et godt spørgsmål. Jeg har selvfølgelig hørt lidt om, at der var nogle ting, der foregik. Men det foregår på et højere plan, end jeg egentlig kan udtale mig om.

Kevin Humphries henviser til Erik Mørk og siger, at de lettiske vikarer får overenskomstmæssig løn. 

Erik Mørk oplyser til Fagbladet 3F, at han ingen kommentarer har til Team Managements konkurs. Fagbladet 3F har siden i torsdags forsøgt at få kommentarer fra ejeren af Alfred Pedersen & Søn, Mads Pedersen, men han har ikke reageret på bladets gentagne henvendelser.