Branche tavs om løndumping hos tomatkonge

Løndumping: På stribe er vikarer hos Alfred Pedersen & Søn blevet underbetalt, men både GLS-A og Dansk Gartneri tier i sagen.

Lettiske vikarer er blevet underbetalt hos tomatgiganten Alfred Pedersen & Søn, men  hverken GLS-A eller Dansk Gartneri vil udtale sig om brud på overenskomsten. (Foto: Ole Friis)Lettiske vikarer er blevet underbetalt hos tomatgiganten Alfred Pedersen & Søn, men hverken GLS-A eller Dansk Gartneri vil udtale sig om brud på overenskomsten. (Foto: Ole Friis)

Hverken arbejdsgiverforeningen GLS-A eller brancheorganisationen Dansk Gartneri vil give sin mening til kende om omfattende løndumping hos Danmarks største tomatproducent.

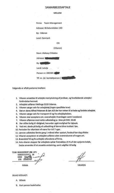
Gartneriet Alfred Pedersen & Søn har i 2012 beskæftiget op til 177 vikarer, som har fået en løn, der er lavere end den, der er fastsat i overenskomsten for gartnerier. De udenlandske vikarer har været ansat i firmaet Team Management, der - lige som tomatgartneriet - ellers har forpligtiget sig til at følge overenskomsten som medlem af GLS-A.

Til trods for, at GLS-A selv har forhandlet den overenskomst, som er blevet overtrådt, er arbejdsgiverforeningen tavs om underbetalingen af vikarerne:

- Jeg har ingen kommentarer, siger direktør Johnny Ulff Larsen til Fagbladet 3F.

Vil ikke svare på spørgsmål

Fagbladet 3F har den seneste tid afsløret, at op til 177 vikarer er blevet underbetalt hos Alfred Pedersen & Søn som ansat i vikarbureauet Team Management. Bladet har ligeledes dokumenteret, at vikarer er blevet trukket hver 5.000 kroner i løn om måneden som betaling for husleje. Samt at gartneriet og vikarbureauet kræver ret til - uden varsel - at inspicere vikarernes boliger.

Gartnerierhvervets brancheorganisation Dansk Gartneri oplyser, at den har til formål at styrke erhvervets omdømme, og at den vil være kendt som en troværdig samarbejdspartner. Fagbladet 3F har forelagt formanden for Dansk Gartneri, Kristian Madsen, oplysningerne om løn-, arbejds- og boligforholdene for de udenlandske vikarer. Men Dansk Gartneri vil blandt andet ikke svare på, om organisationen tager afstand fra forholdene, oplyser konsulent Torben Lippert i en mail til Fagbladet 3F:

- Vi må desværre skuffe dig, vi har ingen kommentarer til nedenstående spørgsmål, skriver han.

Sagen ikke slut

Ejer og daglig leder af Alfred Pedersen & Søn, Mads Pedersen, har i nær fortid selv siddet i bestyrelsen for Dansk Gartneri. Derudover har han været formand for Den Grønne Vækstklynge under organisationen.  

3F har siden juli forsøgt at sikre, at de udenlandske vikarer hos Alfred Pedersen & Søn får betaling efter overenskomsten. Men sagen er endnu ikke løst og fortsætter.